logoMathBits.comTable of Contents

Solving Exponential Equations

While exponential equations can be solved on the graphing calculator,
you will, in most cases, have to adjust your window to see the graphs.

 

1.  1

This is a simple calculation problem.
Enter the right hand side of the equation on the home screen to perform the calculation. 
Newer calculators will use a superscript for the exponent, and will "stay" there until signaled to drop back to the base level.
Older calculators do not use superscripts or subscripts, so parentheses are needed.

Answer:  y = 0.2  or  1/5


To convert to "fraction",
use MATH, #1 Frac

2.   3

Enter the left side into Y1 and the right side into Y2.   Keep in mind that 1/27 is a very small value.  Adjust your window accordingly.  If necessary, start with the standard 10 x 10 window and adjust until you see the graph clearly.  Then use your intersect option.
2nd CALC (above TRACE), #5 intersect
Answer: x = -3

4 4.5

3.   5

Proceed as in #2.  A standard 10 x 10 window was used here.
Answer:  x = 3.3219281
6
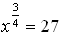
4.   7

Proceed as in #2.  Be sure to adjust the window to allow for a y-value of 27.  Also notice the need to move to the right to find the intersection.  Increase the XMax value.
Answer:  x = 81
When graphing, this equation is referred to as a "power" function, not an "exponential" function, since x is in the base.

8  8.5

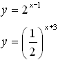
5.    Solve this system:
        9


Enter both functions.  Use the intersect option. 
A standard 10
x 10 window was used here.
Answer:  x = -1,  y = 0.25
10
6.  Solve for x, to the nearest thousandth:
               11


Proceed as in #2.  Adjust the window as to see the point of intersection of the two functions.

Answer:  x = 16.366
12  12.5


divider
Finding Your Way Around TABLE of CONTENTS